Підприємства, володіючи вільними грошовими коштами, можуть вибирати одну з трьох форм (рис. 1).

Рис. 1. Форми фінансових інвестицій.
Участь у статутному фонді інших підприємств має для інвестора як тактичне, так і стратегічне значення. З тактичної точки зору це одержання прибутку, а зі стратегічної (більш вагомо) – участь в управлінні підприємствами. Останнє дає можливість підвищити рівень інтеграції інвестора з даними підприємствами, використовувати їх потенційні можливості для підвищення ефективності своєї оперативної діяльності. В нинішніх умовах ця форма фінансових інвестицій є не тільки економічно привабливою, але й доступною. З часом її використання буде обмежене.
Депозитні сертифікати банків являють собою термінові сертифікати з великим номіналом. Вони призначені головним чином для суб'єктів господарювання (юридичних осіб). Депозитний (як і ощадний) сертифікат служить свідченням про прийнятий банком внесок на конкретний термін із зазначеними відсотками. У принципі це той же механізм, що і депозитний (чи ощадний) внесок, але сертифікат, будучи цінним папером, може бути переданий одним власником іншому.
Депозитні сертифікати є різновидом строкових банківських вкладів, при яких клієнту видається не ощадна книжка, а сертифікат (посвідчення), що виконує роль боргової розписки банку. Кошти з такого внеску, як правило, можна вилучити і до закінчення зазначеного терміну, але лише сплативши штраф у формі утримання визначеної частини відсотків. Сертифікати бувають іменні і на пред'явника.
Особливою популярністю в інвесторів користуються передані депозитні сертифікати на пред'явника, що вільно обертаються на вторинному ринку. При цьому замість нарахування відсотків понад номінал часто використовується продаж зі знижкою (дисконтом). Ціна депозитного сертифіката при передачі визначається з урахуванням ємності вторинного ринку, терміну погашення і поточної процентної ставки по інструментах того ж класу.
Ринок цінних паперів демонструє становлення покупців та продавців до цінних паперів окремих підприємств, як барометр показує стан фінансового здоров’я відповідних суб’єктів господарювання та економіки країни в цілому. Попит на цінні папери точно показує, які галузі перспективні і заслуговують уваги з точки зору розміщення капіталу, а які, навпаки, зупинилися у своєму рості. На основі такої інформації розробляють свою фінансову політику керівники підприємств.
Купівля-продаж цінних паперів на фондовій біржі здійснюється за їх ринковою ціною – біржовому курсу. На коливання біржового курсу впливають наступні фактори:
- співвідношення попиту і пропозиції;
- розмір доходу (дивіденду), який отримує власник цінних паперів, а особливо перспективи отримання доходу;
- розмір процента за кредит (процента виплачуваного банками за вкладами). Якщо процент доходу по цінних паперах знижується, а розмір процента за кредит росте, то вигідніше покласти гроші в банк і отримувати гарантований процент прибутку, аніж вкладати гроші в цінні папери;
- ціни на золото, нерухомість. Зниження цін на ці товари приваблює вільні кошти, і попит на цінні папери падає;
- ліквідність цінних паперів, тобто можливість перетворення придбаних цінних паперів у гроші;
- біржові спекуляції, купівля-продаж цінних паперів з метою отримання прибутку. Коли здійснюються спекуляції, можуть розповсюджуватися різні чутки, укладаються фіктивні договори, що приводить до штучного підвищення чи пониження курсу цінних паперів;
- різні події в політичному, економічному житті як окремих країн, так і всього світу (війна, зміна уряду і т.п.).
В результаті взаємодії перерахованих факторів змінюється курс цінних паперів на фондовій біржі. Існують спеціальні терміни для визначення положення курсу цінних паперів по відношенню до їх номіналу. Якщо курс вищий за номінал, то різниця між курсом і номіналом називається ажіо, або лаж. Коли курс дорівнює номіналу, таке положення називають альпарі, а якщо курс менший за номінал, то різниця між курсом і номіналом має від’ємне значення і називається дізажіо.
Серед цінних паперів важливе місце займають акції, які дають право їх власникові на одержання частини прибутку у вигляді дивідендів. Фінансовому менеджеру необхідно чітко орієнтуватися у таких поняттях:
- деномінація акцій — зміна номінальної вартості всіх випущених одним емітентом акцій, що супроводжується дробленням або консолідацією акцій;
- дроблення акцій — зменшення номінальної вартості акцій шляхом ділення на визначений уповноваженим органом емітента коефіцієнт. При цьому кількість акцій збільшується пропорційно коефіцієнту дроблення, а сумарна номінальна вартість акцій не змінюється;
- консолідація акцій — зменшення загальної кількості акцій відповідно до заданого коефіцієнта водночас із пропорційним збільшенням номінальної вартості всіх випущених емітентом акцій. Операція консолідації не призводить до зміни сумарної номінальної вартості акцій. Консолідація або дроблення акцій не повинні призводити до зміни розміру статутного фонду товариства.
Інвестиційний портфель – це сукупність зібраних воєдино різних інвестиційних цінностей, які служать інструментом для досягнення конкретної інвестиційної мети вкладника. У портфель можуть входити цінні папери одного типу (акції) чи різні інвестиційні цінності (акції, облігації, ощадні і депозитні сертифікати, заставні свідчення, страховий поліс і ін.).
Принципами формування інвестиційного портфеля є безпека і прибутковість вкладень, їхній ріст, ліквідність вкладень. Під безпекою розуміється невразливість інвестицій від потрясінь на ринку інвестиційного капіталу і стабільність одержання доходу. Безпека звичайно досягається на шкоду прибутковості і росту вкладень.
Нарощувати вкладення можуть тільки власники акцій. Під ліквідністю будь-якого фінансового ресурсу розуміється здатність його брати участь у негайному придбанні товару (робіт, послуг). Так, готівкові кошти мають більшу ліквідність, ніж безготівкові. Набір дрібних купюр має більшу ліквідність, ніж набір великих купюр. Ліквідність інвестиційних цінностей — це їхня здатність швидко і без втрат у ціні перетворюватися в готівку. Найбільш низькою ліквідністю володіє нерухомість.
Жодна з інвестиційних цінностей не володіє всіма перерахованими вище властивостями. Тому неминучий компроміс. Якщо цінний папір надійний, то прибутковість буде низькою, тому що ті, хто віддають перевагу надійності, будуть пропонувати високу ціну і зіб'ють прибутковість.
Головна мета при формуванні портфеля полягає в досягненні найбільш оптимального поєднання ризику і доходу для інвестора. Інакше кажучи, відповідний набір інвестиційних інструментів покликаний знизити ризик вкладника до мінімуму й одночасно збільшити його доход до максимуму.
Методом зниження ризику серйозних втрат служить диверсифікованість портфеля, тобто придбання визначеного числа різних цінних паперів. Ризик знижується, коли капітал розподіляється між безліччю різних цінних паперів. Диверсифікованість зменшує ризик за рахунок того, що можливі невисокі доходи від одних цінних паперів будуть компенсуватися високими доходами від інших.
Мінімізація ризику досягається за рахунок включення в портфель цінних паперів широкого кола галузей, не пов'язаних тісно між собою, щоб уникнути синхронності циклічних коливань їхньої ділової активності. Оптимальна величина — від 10 до 15 різних видів цінних паперів.
Отже, управління портфелем цінних паперів – це планування, аналіз та регулювання складу портфеля, діяльності з його формування та підтримання з метою досягнення поставлених перед ним завдань при збереженні необхідного рівня його ліквідності та мінімізації пов’язаних з цим витрат.
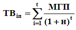
Оцінка ефективності формування інвестиційного портфеля проводиться на основі розрахунку показника теперішньої вартості майбутніх грошових потоків.

де ТВіп – теперішня вартість відповідного цінного паперу;
МГП – очікувані в майбутньому грошові потоки за період використання цінного паперу;
н – очікувана норма прибутку;
t – період використання цінного паперу.
Венчурний капітал — цей термін використовується для позначення ризикованого капіталовкладення. Венчурний капітал являє собою інвестиції у формі випуску нових акцій, емісія яких має місце у нових сферах діяльності, пов'язаних з великим ризиком. Венчурний капітал інвестується в не зв'язані між собою проекти в розрахунку на швидку окупність вкладених засобів.
Капіталовкладення, як правило, здійснюються шляхом придбання частини акцій клієнта чи надання йому позичок, у тому числі з правом конверсії цих позичок в акції. Ризикове вкладення капіталу обумовлене необхідністю фінансування дрібних інноваційних фірм для впровадження нових технологій.
Література
1. Конституція України.—К., 1996.
2. Закон України «Про власність» // Відомості Верховної Ради України.— 1991—№20.
3. Закон України «Про підприємництво» // Відомості Верховної Ради України. — 1991. — № 14.
4. Закон України «Про господарські товариства» // Відомості Верховної Ради України. — 1991. — № 49.
5. Закон України «Про відновлення платоспроможності боржника або визначення його банкрутом». 784-ХІУ від 30.06.1999.
6. Указ Президента України «Про інвестиційні фонди та інвестиційні компанії» // Урядовий кур'єр. — 1994. — № 31—32.
7. Закон України «Про банки й банківську діяльність» // Урядовий кур'єр від 17.01.2001.
8. Закон України «Про підприємства в Україні» від 27.03.1991.
9. Закон України «Про державне регулювання ринку цінних паперів в Україні» // Інформаційний бюлетень. Асоціація українських банків. — 1996.— №12.
10. Балабанов И. Т. Основы финансового менеджмента. Как управлять капиталом — М.: Финансы и статистика, 1995.