Номінальна вартість акції може бути різною, але здебільшого емітенти віддають перевагу випуску акцій невеликого номіналу, що дає змогу розширити ринок та підвищити ліквідність таких акцій. Як правило, номінал акції не відображає її реальної вартості, тому для аналізу дохідності акцій використовують курсову, тобто поточну ринкову ціну.
Курсова ціна акцій залежить від різноманітних чинників: величини та динаміки дивідендів, загальної кон'юнктури ринку, ринкової норми прибутку. На курс акцій можуть суттєво вплинути управлінські рішення щодо реструктуризації компанії-емітента. Так, приміром, рішення про злиття компаній здебільшого значно підвищують курсову ціну їх акцій.
Хоч курсову ціну акцій можна визначити різними способами, але всі вони базуються на одному засадному принципі, який полягає в порівнюванні генерованих цим цінним папером доходів з ринковою нормою прибутку.
Показником дохідності може бути або рівень дивідендів, або величина чистого прибутку в розрахунку на одну акцію. Другий показник використовують тоді, коли дивіденди з певних причин не виплачують, а одержаний прибуток повністю реінвестують, скажімо, у процесі становлення, розширення чи реорганізації акціонерного підприємства.
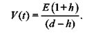
Прийняття управлінських рішень щодо доцільності придбання акції базується на результатах порівняльного аналізу її поточної ринкової ціни з теоретичною (внутрішньою) вартістю. Внутрішню вартість акції можна розрахувати різними методами, але найпоширенішою залишається вже відома нам модель оцінки майбутніх надходжень, яка трансформується залежно від прогнозованої динаміки виплати дивідендів на акції.
Акції з постійними (сталими) дивідендами. Якщо сума дивідендів, які виплачують власнику акції, є сталою величиною, то базова модель перетворюється на формулу суми складових геометричної прогресії, що постійно спадає:
![]()
де Е — грошовий потік у вигляді дивідендів; d— середньорічна (або інша прийнятна) норма дохідності. Аналогічно розраховується вартість безстрокових облігацій.
Приклад 1
Проаналізуємо доцільність придбання підприємством акцій відкритого акціонерного товариства за ринковою ціною 200 грн та щорічною виплатою дивідендів 35 грн, якщо середньоринкова норма прибутку становить 25 %. Розрахуємо теоретичну вартість акції:
V(t) = 35 : 0,25 = 140 грн.
Отже, внутрішня вартість цих акцій (140 грн) є значно нижчою проти їх ринкової ціни (200 грн), і підприємству не рекомендується купувати ці акції, оскільки їх ціну завищено.
Акції з дивідендами, що рівномірно зростають. Якщо дивіденди, що виплачують власникам акцій, постійно та рівномірно зростають, то на внутрішню вартість таких цінних паперів впливатимуть базова величина дивідендів (Е) та темпи їх приросту (А). Базова модель (11.4) в цьому випадку матиме вигляд:

Після певних математичних перетворень одержують формулу, відому як модель М. Гордона, яка є справедливою за умови, коли середньоринкова норма прибутку вища за темпи приросту дивідендів, тобто за d > h:
![]()
Повертаючись до прикладу 1, проаналізуємо привабливість акцій, якщо щорічний темп приросту дивідендів становитиме 10 %.
![]()
Отже, в такому разі придбання акцій за ринковою ціною 200 грн треба визнати вигідним вкладенням коштів, оскільки внутрішня вартість таких цінних паперів (256,7 грн) є значно вищою за поточний курс.
Акції зі змінним темпом приросту дивідендів. Якщо ні величина дивідендів, ні темпи їх приросту не залишаються постійними упродовж періоду, котрий аналізується, то застосовуються комбіновані прийоми, і процедура розрахунків ускладнюється. Суть підходу полягає у тому, що загальний період поділяють на кілька часових інтервалів, у межах яких або дивіденди можна вважати сталими, і тоді розраховують внутрішню вартість за формулою (11.9), або постійними є темпи їх приросту, що дає змогу використати для аналізу формулу (11.10). Внутрішню вартість акції визначають як суму вартостей, розрахованих для кожного періоду.
Норми оподаткування доходів від операцій з цінними паперами значною мірою визначають привабливість цього фінансового інструменту для інвесторів, оскільки для них більше важить величина доходів на цінні папери після виплати податків, ніж до цього.
Здебільшого доходи на цінні папери оподатковуються за загальними правилами та ставками. Але подекуди для заохочування вкладень у певні види цінних паперів (приміром, у муніципальні облігації) доходи від операцій з такими інструментами не оподатковуються або норми оподаткування встановлюють на рівні нижчому, ніж загальний.
В Україні в період випуску в обіг облігацій внутрішньої державної позики (ОВДП) доходи на ці облігації, одержані на первинному ринку, не оподатковувалися. Доходи від перепродажу ОВДП, тобто одержані на вторинному ринку, підлягали оподаткуванню за загальними ставками. Це стимулювало інвесторів до вкладення значних коштів у ОВДП, але водночас стримувало розвиток вторинного ринку.
Нині згідно з чинним законодавством України витрати підприємства на купівлю цінних паперів розглядають як елемент валових витрат, а всі доходи, одержані у вигляді дивідендів від акцій, паїв, часток, погашення номінальної вартості цінного паперу та інших вкладень, включають до складу валових доходів і оподатковують за загальною ставкою податку на прибуток.
У процесі прийняття управлінських рішень щодо фінансових інвестицій можна використати такий показник, як період окупності цінного паперу, відомий в економічній літературі як аналіз дюрації. Порівняльний аналіз дюрації кількох цінних паперів та (або) періоду окупності капітальних вкладень уможливить вибір найприйнят-нішого варіанта інвестування коштів.
Середньозважений строк погашення (дюрація) — це міра наведеної вартості окремого цінного паперу або портфеля цінних паперів, за допомогою якої вимірюється середня тривалість періоду, упродовж якого всі потоки доходів, генерованих цінним папером, надходять до інвестора. Дюрація показує період окупності цінного паперу, тобто час повернення коштів, витрачених на його придбання. За економічним змістом поняття дюрації цінного паперу аналогічне поняттю періоду окупності реальних інвестицій.
Дюрація визначається як відношення приведеної вартості суми всіх очікуваних потоків доходів, генерованих цінним папером (зважених за часом надходження), до ринкової ціни цінного паперу. Дюрація D обчислюється за формулою (роки)

де CFt — очікувані потоки відсоткових доходів в г'-й період (г = 1,... ..., п); і— періоди проведення виплат; η— загальна кількість періодів; d— ставка дисконтування; N— номінальна сума боргу (або ціна продажу); Ρ — дисконтована ціна цінного паперу.
Для обчислення дюрації цінного паперу необхідно послідовно розрахувати грошовий потік, коефіцієнт дисконтування, чисту теперішню (приведену) вартість та її зважене значення. На завершальному етапі діленням зваженої теперішньої вартості на ринкову вартість цінного паперу визначають величину дюрації.
Якщо цінний папір генерує потік грошових коштів лише один раз — у момент його погашення, то його дюрація дорівнює періоду обігу. Приміром, трирічний депозитний сертифікат з умовою виплати основної суми і відсотків після закінчення періоду обігу та проданий за номінальною вартістю, має дюрацію 3 роки. Але для всіх цінних паперів, за якими виплати проводяться кілька разів до досягнення строку погашення, дюрація буде коротшою за тривалість періоду обігу.
Приклад 2
Облігація номінальною вартістю 1000 грн погашається через 4 роки і має купон 25 %. Якою буде дюрація цього цінного паперу за умови виплати відсоткового доходу один раз на рік упродовж усього періоду обігу, якщо його дисконтована ціна становить 900 грн? Якому напряму інвестування коштів має віддати перевагу підприємство, якщо термін окупності альтернативного варіанту інвестування становить 3,5 роки?
Середньозважений строк погашення обчислимо за допомогою табл.1.

Отже, у термінах приведеної вартості період окупності облігації становитиме 3,28 року, що і є середньозваженим строком погашення — дюрацією, а тому підприємству доцільно вибрати саме цей напрям вкладення коштів.
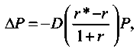
Прогнозний аналіз цінових змін цінного паперу базується на існуванні залежності між змінами ринкових відсоткових ставок і ціною цінного паперу (у відсотках):
![]()
де АР — зміна ціни цінного паперу (у відсотках); г * — прогнозована відсоткова ставка на ринку; г — діюча відсоткова ставка.
Вплив відсоткових ставок на зміну вартості цінного паперу у грошовому вираженні обчислюється за формулою:

де АР — зміна ціни цінного паперу (у грошовому вираженні); Ρ — ринкова ціна цінного паперу.
Для оцінки зміни вартості цінного паперу дюрацію зі знаком "мінус" необхідно помножити на його поточну ціну та зміну відсоткових ставок на ринку з урахуванням дисконту. Цінні папери з високим купонним доходом мають коротшу дюрацію порівняно з цінними паперами, які характеризуються низьким відсотковим доходом на купон і таким самим рівнем ринкової дохідності. Тому цінні папери з високим купонним доходом мають нижчий рівень цінового ризику. І навпаки, низькокупонні папери можуть дати високий дохід за зміни відсоткових ставок на ринку, але при цьому з ними пов'язаний більший ціновий ризик. З огляду на ці закономірності перший тип цінних паперів більше підходить консервативному інвестору, а другий — прихильнику спекулятивного доходу.
Проаналізуємо зміну вартості облігації, яка нині продається за ціною 900 грн, якщо дюрація дорівнює 3,28 року, а прогноз свідчить про підвищення відсоткових ставок на ринку упродовж поточного року з 25 % до 35 %.

Отже, підвищення ринкових ставок на 10 % призведе до зниження ціни облігації на 26,24 %, або на 236,16 грн, і ринкова ціна облігації через рік становитиме 663,84 грн.
Маючи намір придбати певні цінні папери, менеджер підприємства має вирішити, чи прийнятна для нього така цінова чутливість і чи не будуть інші цінні папери точніше відповідати його поточним потребам. Також необхідно оцінити ймовірність значних змін відсоткових ставок на ринку упродовж періоду обігу цінного паперу. Аналіз цих аспектів дасть змогу прийняти обґрунтоване рішення щодо купівлі чи продажу цінних паперів.
Список використаної літератури
1. Економічний аналіз: Навч. посіб. / М. А. Блюх, В. 3. Бурчевський; За ред. М. Г. Чумаченка. — К.: Вид-во КНЕУ, 2001. — 540 с.
2. Примастко Л. О. Фінансові деривативи: аналітичні та облікові аспекти. — 263 с.
3. Федоренко В. Г., Гойко А. Ф. Інвестознавство: Підруч. / За наук, ред. В. Г. Федоренка. — К.: МАУП, 2000. — 408 с.
4. Інвестиційні процеси в промисловості України: Монографія / В. Г. Федоренко, О. Ф. Іткін, Д. В. Степанов та ін.: За наук. ред. В. Г. Федоренка. — К.: Наук, світ, 2001. — 447 с.