Маржиналізм (від marginal — граничний), відомий під назвою теорій граничної корисності та граничної продуктивності, перетворився на самостійну течію буржуазної політекономії в другій половині XIX ст. Виникнення маржиналізму зумовлювалось передусім об'єктивними чинниками: поглибленням поділу праці, розширенням капіталістичного ринку, зростанням взаємозалежності та конкурентної боротьби між економічними суб'єктами. Головна функція підприємця була пов'язана з вибором правильного рішення щодо розміру ресурсів і продаж, рівня ринкових цін.
Теорії маржиналізму стали формою відображення первинних економічних потреб і прагнень приватних підприємців. Крім того, нова течія виконувала й ідеологічну функцію, протиставляючи свої концепції марксизму й виступаючи проти трудової теорії вартості.
Для маржиналізму характерна нова методологія, основними ознаками є такі:
- психологізація економічного аналізу — участь індивіда в економічних процесах зумовлюється психологічними, суб'єктивними чинниками й оцінками;
- суб'єктивно-ідеалістичний підхід — погляд на систему вільного підприємництва з боку ізольованого господарюючого суб'єкта;
- принцип раціональної поведінки людини на основі власних, суб'єктивних уявлень;
- позаісторичний підхід — предмет дослідження однаковий і вічний для будь-яких суспільств (раціональний розподіл обмежених ресурсів);
- примат обміну та споживання над виробництвом — корисність блага може оцінити лише споживач;
- принцип рідкісності — обмеженість пропозиції того чи іншого блага, унаслідок чого ціна потрапляє в повну залежність від попиту, пов'язаного з суб'єктивними оцінками;
- оперування граничними величинами — граничною корисністю, граничною продуктивністю;
- ідеологічна нейтральність економічного аналізу — спроба побудувати теорію "чистої економіки" без урахування політичних чинників.
Маржиналізм не був абсолютно однорідною течією, він складався з кількох шкіл — австрійської, кембриджської (англійської), американської та лозаннської. Психологічні мотиви індивідуальної економічної поведінки, споживчий попит, ціна — питання, які перебували в центрі уваги економістів австрійської школи.
Ідеї, співзвучні цій школі, паралельно висунув англійський теоретик Вітям Стенлі Джевонс (1835— 1882), який увійшов у історію економічної думки як один з перших економістів-математиків. Складніший мотивований аналіз взаємодії ціни, попиту та пропозиції характерний для праць Альфреда Маршалла (1842—1924), який очолював кембриджську школу маржиналізму.
Проблеми ефективності використання факторів виробництва й розподілу вартості продукту між їх власниками стали головними в дослідженнях американської школи, представленої Джоном Бейтсом Кларком (1847—1938). Засновники маржиналізму не мали єдиної позиції щодо того, яким має бути економічний аналіз — причинно-наслідковим чи функціональним. Економісти австрійської школи — перші та єдині — виступали з ідеями встановлення причинно-наслідкових зв'язків між економічними явищами.
Теоретики кембриджської та американської шкіл, як і економісти-математики, категорично заперечували цей принцип, розглядаючи тільки функціональні взаємозв'язки об'єктів аналізу незалежно від того, який з них є причиною, а який — наслідком.
У концепціях австрійської школи провідну роль відіграє суб'єктивно-психологічний підхід. Спираючись на нього, австрійці прагнули побудувати послідовну, вільну від внутрішніх суперечностей економічну теорію, спрямовану на вивчення причинно-наслідкових взаємодій. Видатними представниками цього першого великого маржиналістського угруповання були Карл Менгер (1840—1921), Фрідріх Візер (1851—1926), Ойген фон Бем-Баверк (1851—1914).
Теорія вартості трансформувалася в їхніх дослідженнях у теорію граничної корисності (першим категорію "гранична корисність" увів у науковий обіг Ф. Візер, тоді як К. Менгер, наприклад, оперував категорією "кінцева інтенсивність"), обґрунтуванню якої приділялося найбільше уваги.
Ціни, за визначенням маржиналістів, залежать не від вартості, яка зумовлюється витратами праці, і не від споживної вартості (корисності), а виключно від суб'єктивних оцінок цієї корисності, точніше — від граничної корисності. Під граничною корисністю вони розуміли суб'єктивну оцінку корисності останньої одиниці запасу певного споживчого блага. Головні принципи теорії граничної корисності сформулював К. Менгер у праці "Начала політичної економії" (1871).
На його думку, гранична корисність блага визначається двома чинниками — інтенсивністю індивідуальної потреби й рідкісністю (або запасом) цього блага. Чим більша інтенсивність потреби при певному обсязі запасу, тим вища оцінка блага індивідом, тим більша його гранична корисність, і навпаки.
Обсяг запасу впливає протилежно: якщо він зменшується при постійній інтенсивності потреби, то гранична корисність блага збільшується. К. Менгер категорично не визнавав будь-який вплив цін на граничну корисність. Оскільки він аналізував ринок з фіксованою пропозицією певного товару, у нього виходило, що ціну диктує попит (останній ставився в залежність від граничної корисності).
Дещо іншу концепцію ціноутворення висунув найвідоміший теоретик австрійської школи О. Бем-Баверк. Граничні корисності, на його думку, визначають ціни не опосередковано (через попит), а прямо, встановлюючи межі їх коливань. Верхня, максимальна межа зміни ринкової ціни будь-якого товару залежить від суб'єктивної оцінки його корисності покупцем; нижня, мінімальна межа ціни зумовлюється суб'єктивною оцінкою корисності вказаного товару, яка є в продавця.
Перед О. Бем-Баверком постала проблема пояснити механізм вимірювання і порівняння цих суб'єктивних оцінок. Вирішити її він спробував за допомогою поняття граничної корисності грошей, прирівнюючи її до суми граничних корисностей товарів, які індивід може купити на останню одиницю свого грошового доходу. Проте такий суб'єктивний механізм встановлення ринкових цін погано узгоджувався з капіталістичною високотоварною економікою.
Оригінальною можна вважати теорію відсотка, розроблену О. Бем-Баверком. Вона побудована на ідеї про те, що для раціонального суб'єкта, зокрема для власника грошового капіталу, певне благо має більшу граничну корисність тепер, ніж у майбутньому. Індивідуум, вважав учений, розраховує на те, що в перспективі запас блага збільшиться, і тому прогнозує зменшення своєї оцінки його граничної корисності. Походження відсотка О. Бем-Баверк пов'язував із впливом фактору часу на граничні корисності.
О. Бем-Баверк, розвинувши ідею Ж. Б. Сея про продуктивність факторів виробництва, дослідив, як формується відсоток на капітал і як він впливає на інші категорії доходів. Нове в дослідженні капіталу — це оцінка теперішньої цінності майбутніх благ (дисконтування) *, необхідність якої спричинюється розривом у часі між авансуванням коштів на виробництво й отриманням кінцевого продукту.
Чим довший цей період, тим більша різниця в оцінках блага "тепер" і в "майбутньому", тим усвідомленішою стає потреба приведення цих оцінок до одного моменту часу. Обстоюючи тезу про власну продуктивність капіталу, О. Бем-Баверк визначив відсоток на капітал як частину цінності майбутнього граничного продукту, що виробляється із застосуванням теперішніх засобів виробництва (капіталу). Заробітна плата й рента — це цінність майбутнього граничного продукту відповідно до праці чи землі, помножена на кількість продукції й дисконтована відносно цього моменту часу (у ролі дисконту виступає ринкова норма відсотка).
Сучасна економічна теорія, сприйнявши ці висновки, пропонує таке формулювання: продуктивність капіталу визначається шляхом віднімання з продукту виробництва всіх альтернативних витрат; одержаний залишок тяжіє до рівня річної норми відсотка. Таким чином, характерна для класичної школи категорія "прибуток на капітал" замінюється в неокласиків терміном "відсоток на капітал".
Раціональні суб'єкти в австрійській теорії маржиналізму формують свої оцінки граничної корисності лише стосовно предметів споживання (споживчих благ). Індивідууми неспроможні оцінити корисність факторів виробництва (виробничих благ). Це означає, що ціни останніх визначаються не прямо, а опосередковано, через граничні корисності споживчих товарів, вироблених за допомогою капіталу та праці.
Це явище відзначав ще К. Менгер, сформулювавши теорію вмінення: блага першого порядку (споживчі товари) самі наділяють цінністю блага вищих порядків (фактори виробництва), що беруть участь у їх виробництві. Це означає, що не цінність і ціна залежать від
витрат виробництва, а навпаки, завдяки тому, що споживчі блага мають цінність, виникає оцінка факторів виробництва, яка й формує витрати виробництва. Проте одне й те саме виробниче благо може використовуватися для випуску різних споживчих благ, які характеризуються неоднаковими граничними корисностями.
Ціну ж цього виробничого блага, на думку Ф. Візера, визначає найменша гранична корисність споживчого блага. Це твердження пояснювалося так: якби ціна виробничого блага залежала не від найменшої граничної корисності, то відповідне зростання витрат виробництва спричинилося збитково до виготовлення ряду споживчих товарів.
В економічну науку саме Ф. Візер увів поняття "альтернативні витрати", без якого неможливо уявити жодне сучасне дослідження. Ідея альтернативних витрат полягає ось у чому: виробляючи (купуючи) певний продукт, підприємець (споживач) ураховує цінність усіх альтернативних шляхів застосування матеріальних або грошових ресурсів, від яких необхідно відмовитися в разі їх використання обраним шляхом.
Будь-який ресурс може використовуватися в різних виробництвах, тобто мати альтернативну вартість. Витрати на виробництво цього продукту залежать від альтернативних можливостей, якими нехтують унаслідок його виробництва. Аналіз концепції альтернативних витрат показує, що Ф. Візер відходить від суб'єктивних оцінок індивіда (як це було у К. Менгера) і розглядає господарські закономірності, що складаються з багатьох індивідуальних оцінок і переваг.
Разом з тим умовою альтернативних витрат є наявність конкуренції — за володіння запасом та за варіанти використання ресурсів, а також між виробниками й споживачами, продавцями й покупцями. І останнє: поняття альтернативних витрат втрачає свій економічний зміст і роль регулятора споживання блага тоді, коли кількість блага необмежена.
Суб'єктивно-психологічна теорія австрійської школи маржиналізму не змогла досягти мети, яку ставила перед собою, а саме: знайти кінцеву основу ціни. Теорія кембриджської школи представлена дослідженнями Альфреда Маршалла, Френсіса Еджворта, Артура Пігу. Найбільший внесок у розвиток концепції англійського маржиналізму зробив А. Маршалл, основи теорії якого викладено в книзі "Принципи економіки" (1890).
Він подолав обмеженість маржиналістських концепцій австрійської школи, об’єднавши їх з деякими положеннями пострікардіанської англійської політекономії й додавши певну кількість математичного аналізу. Це дає змогу вважати А. Маршалла засновником нового напрямку економічної науки — неокласичного аналізу, який означає компромісне поєднання різних теоретичних концепцій. А. Маршалл і представники кембриджської школи зробили розгорнутий опис системи вільного підприємництва та розробили підходи до вирішення проблем, з якими стикаються на ринку виробники та споживачі.
У центрі уваги економістів кембриджської школи був механізм ринкового формування цін. А. Маршалл визнавав лише функціональний аналіз, тому всі три параметри ринку (ціну, попит, пропозицію) він розглядав разом, у їх взаємодії. Свій висновок А. Маршалл сформулював так: ні попит, ні пропозиція не мають вирішального значення з погляду визначення ціни; попит і пропозиція — рівноправні елементи механізму ринкового ціноутворення.
З одного боку, ринковий механізм, що діє в умовах необмеженої конкуренції, встановлює залежність попиту та пропозиції від ціни. Якщо, наприклад, на певному товарному ринку ціна зростає, то попит знижується, а пропозиція збільшується. З іншого боку, ринкова система діє в протилежному напрямі, визначаючи рух ціни співвідношенням попиту та пропозиції. Кембриджська школа широко використовувала поняття ринкової рівноваги — такого стану ринку, коли попит на певний товар дорівнює його пропозиції, тобто існує стала ринкова ціна — ціна рівноваги.
Активно використовуючи частково-рівноважний аналіз і графіч-ний метод дослідження, А. Маршалл уперше поєднав в одній системі координат графіки попиту та пропозиції, що дістали назву "хрест" Маршалла (рис. 1).

Крива D — графік попиту (demand), відображення закону спадання граничної корисності товару для споживачів; крива S — графік пропозиції (supply), відображення закону зростання граничних витрат для виробників. Рівноважна ціна р і кількість q задовольняють як споживачів (покупців), так і виробників (продавців). За вищою ціною (рх) виробники могли б продати більшу кількість товару, але споживачі не куплять цієї кількості, і виробникам доведеться зменшити ціну від/ij в напрямі р.
Нижча ціна (р2) спонукає споживачів до збільшення покупок, але виробники не відповідають адекватним зростанням кількості вироблюваної продукції, вони збільшать ціну від р2 у напрямі р. Ринкова вартість (цінність) визначається рівновагою попиту та пропозиції, граничної корисності продукту та граничних витрат виробництва.
Згідно з позицією А. Маршалла ідеальною є така картина ринкової взаємодії, коли попит і пропозиція однаково впливають на зміну ціни. Проте характер цієї взаємодії змінюється залежно від тривалості відрізку часу, що розглядається. У межах короткотермінового інтервалу пріоритет отримує попит, тому що пропозиція більш інерційна, потребує впровадження нових виробничих потужностей або нових умов виробництва.
Величина пропозиції, таким чином, має постійний характер, а попит перетворюється на вирішальний ціноутворюючий фактор. У межах довготермінового інтервалу роль головної ціноутворюючої сили виконують пропозиція та пов'язані з нею витрати виробництва. Чим довший період, тим сильніший їх вплив порівняно з дією фактора попиту.
Причину такого становища в довготривалій перспективі А. Маршалл вбачав у тому, що саме виробництво визначає рух потреб, які потім набирають вигляду граничних корисностей і попиту. Концепція формування ринкових цін була логічною та збалансованою, тому вона суттєво вплинула на подальший розвиток економічної теорії. Ідея про вирішальну роль попиту в короткотерміновому регулюванні цін стала одним з принципів кейнсіанської системи макрорегулювання. Інший висновок — про переважне значення пропозиції в довготерміновій динаміці цін — розвинули теоретики сучасного консерватизму.
А. Маршалл, у цілому позитивно сприймаючи методологічну систему маржиналізму, обґрунтовано критикував позицію австрійців і відмовився від примату суб'єктивних оцінок граничної корисності під час аналізу цін, трактуючи їх як один із факторів, що впливає на попит. Він відхилив точку зору англійських економістів (наприклад, Дж. Мак-Куллоха), які бачили остаточну основу ціни у витратах виробництва.
Прагнучи поєднати теорію граничної корисності з теорією витрат ви-робництва, А. Маршалл провів реформу всередині маржиналізму — граничні характеристики почали застосовуватися не тільки для попиту та споживання, а й для пропозиції та виробництва. Було впроваджено поняття граничних витрат — витрат на виробництво останньої одиниці певного товару, які ототожнювалися з мінімальною ціною (ціною пропозиції).
У граничних витратах теоретики кембриджської школи бачили суму доходів, які розподіляються між власниками окремих факторів виробництва, а саме: заробітної плати, відсотка на грошовий капітал і підприємницького доходу. При цьому останній поділявся на дві частини: перша розглядалась як компенсація витрат праці підприємця з управління, а друга — як плата за ризик, пов’язаний з невизначеністю ринку.
Попит на певний товар лідер кембриджської школи поставив у залежність від трьох факторів — граничної корисності, ринкової ціни та грошового доходу, який використовується на споживання; вирішальне значення він надавав першому з них. А. Маршалл досліджу-вав проблеми попиту на окремі товари й розробив концепцію еластичності попиту. Рух попиту визначається еластичним щодо ціни, якщо при зміні ціни на 1% попит на товар змінюється більш як на 1%. Формула еластичності щодо ціни має такий вигляд:
Е = (зміна попиту на товар Х)/(зміна ціни на товар Х).

Показник еластичності інтерпретується у практиці господарювання так (рис. 2):
- якщо еластичність попиту щодо ціни (на певному відрізку кривої попиту) дорівнює одиниці (Е = 1), то підвищення чи зниження ціни не вплине на попит (рис. 2а);
- якщо Е > 1 (попит еластичний), то незначне зниження ціни значно збільшить обсяг реалізації, а одержане зростання сукупного доходу перекриє збитки від зниження ціни (рис. 26);
- якщо Е <\ (попит нееластичний), то підвищення ціни суттєво не зменшить обсягу реалізації й забезпечить додатковий прибуток (рис. 2в).
З ім'ям А. Маршалла пов'язана розробка неокласичної теорії грошей, викладеної в його праці "Гроші, кредит і торгівля" (1923). Основне рівняння цієї теорії виражає потребу у грошах з точки зору використання доходу:
M = kPY,
де М — обсяг грошової маси; к — коефіцієнт Маршалла, що визначає частину доходу, яку люди прагнуть залишити в готівковій формі (він обернено пропорційний до швидкості обігу грошей V, тобто к — 1/V); Р — загальний рівень цін на товари; Y— обсяг валового національного продукту (ВНП).
З кембриджських реформ почався масовий перехід економістів на шлях вивчення функціональних співвідношень економічних явищ та досліджень конкретних товарних ринків. Ідеї кембриджської школи панували в економічній науці до початку 30-х років XX ст. Наступні кризові потрясіння показали необґрунтованість розрахунку А. Маршалла на високу ефективність ринкового механізму та його здатність забезпечити саморегулювання капіталістичного господарства. Стало зрозумілим, що явища капіталістичного відтворення не можна пояснити тільки мікроекономічно, з позицій ізольованого раціонального суб'єкта.
Головною відмінністю американської школи маржиналізму від розробок австрійської та кембриджської шкіл став аналіз проблем виробництва й розподілу, що спирався на концепцію граничної продуктивності праці й капіталу. Засновником цієї школи був Дж. Б. Кларк, який вніс нові моменти в методологію маржиналізму, передусім ідею про статику й динаміку господарської системи.
Під статикою Дж. Б. Кларк розумів певні умови, необхідні й достатні для встановлення рівноваги ринкової системи. На його думку, економіка має не один, а кілька станів рівноваги, тому в будь-який момент може перейти від статичного стану до динамічного.
Динаміку вчений уявляв як повільний, безкризовий перехід від одного стану рівноваги до іншого. Таким чином, принципи статики й динаміки, що застосовуються у фізичних дослідженнях, було перенесено на вивчення економічних явищ, які багато в чому є породженням суспільних відносин.
Процеси виробництва й розподілу Дж. Б. Кларк розглядав з позицій маржиналізму, тобто у вигляді діяльності раціональних суб'єктів: робітника, грошового капіталіста та підприємця. Робітник вкладає у виробництво свою працю, розраховуючи на заробітну плату, а власник грошового капіталу сподівається на отримання відсотка. Прибуток підприємця в статичній ситуації дорівнює нулю, і тільки в умовах динамічного розвитку підприємець має додатковий доход.
Лідер американської школи не обмежився новою інтерпретацією теорії факторів виробництва. Він прагнув вирішити реальну проблему, яка має велике значення для окремого підприємства — як визначити найкращу пропорцію між витратами факторів виробництва, що відповідає стану рівноваги? Пошук відповіді потребував упровадження понять граничної продуктивності факторів виробництва на основі законів спадної продуктивності праці й капіталу.
Граничну продуктивність Дж. Б. Кларк поставив у залежність від обсягу факторів виробництва. Наприклад, закон спадної продуктивності праці діє так: якщо обсяг грошового капіталу постійний, а кількість робітників збільшується, кожен новий робітник вироблятиме дедалі меншу, спадну кількість продукту. Рано чи пізно черговий робітник стає граничним: він виробляє продукт, ціна якого дорівнює ринковій заробітній платі.
Саме його продуктивність Дж. Б. Кларк назвав граничною, а отриманий результат — граничним продуктом. У цьому разі кількість робітників досягла оптимального значення, яке відповідає рівновазі; граничний робітник має стати останнім, хто зайнятий на підприємстві.
Економісти американської школи стверджували, що в кожній виробничій одиниці статичної економіки можливе встановлення оптимального співвідношення витрат виробництва, яке забезпечує мак-симізацію випуску продукції. Це співвідношення, коли гранична продуктивність праці та гранична продуктивність капіталу дорівнюватимуть відповідно ринковим значенням заробітної плати та відсотка.
Місце американської школи маржиналізму в сучасній економічній теорії визначають ті її положення, що належать до факторного аналізу витрат виробництва в межах окремого підприємства. Маються на увазі виробничі функції й подібні економіко-математичні моделі, за допомогою яких визначаються кількісні залежності між витратами виробництва й обсягом виготовленої продукції.
Математична школа представлена працями Антуана Курно (1801— 1877), Германа Госсена (1810—1858), Вільяма Стенлі Джевонса (1835— 1882), Леона Вальраса (1834—1910), Вільфредо Парето (1848—1923), які базувалися на теорії суб'єктивної корисності та граничної продуктивності факторів виробництва. Концепції А. Курно й Г. Госсена, у яких відчувається значний вплив ідей маржиналізму, займають проміжне становище між австрійською та математичною школами. Головна відмінність цієї школи від інших полягає у використанні математичного методу як для викладення теоретичних поглядів, так і для дослідження економічних явищ.
Економісти-математики єдині в тому, що капіталістична економіка здатна досягти становища рівноваги, під яким розуміється рівність попиту та пропозиції. Ідеальним господарським механізмом визнавалося вільне приватне підприємництво, коли однакові раціональні суб'єкти прагнуть отримати максимум корисності.
Математична школа бере початок з праць французького економіста А. Курно, який у центр своєї теорії поставив проблему ціни, розглядаючи її з боку попиту. А. Курно послідовно вивчав три ринкові ситуації: абсолютну монополію, обмежену конкуренцію та необмежену (вільну) конкуренцію; він вирішив питання, якою має бути ціна рівноваги в усіх цих випадках.
Одержані ним результати можна підсумувати так:
- максимальний доход досягається монополістом при такому обсязі продукції, коли граничні витрати дорівнюють граничному доходу;
- у теорії дуополії (двох конкуруючих продавців) А. Курно врахував як пристосування виробників до цін покупців, так і взаємну реакцію фірм на прийняті конкурентом рішення; учений довів, що в точці рівноваги формується ціна, нижча від монопольної, але вища від конкурентного рівня;
- максимізація прибутку в умовах вільної конкуренції передбачає максимально можливий обсяг виробництва, тоді як у монопольних умовах пропонується найменша кількість продукції.
У теорії німецького економіста-математика Г. Госсена провідну роль відіграє раціональний суб'єкт. Досліджуючи його поведінку, Г. Госсен обґрунтував два закони, які присутні в більш пізніх економіко-математичних теоріях. Перший — принцип спадної корисності, згідно з яким під час індивідуального споживання певного блага корисність кожної його наступної одиниці знижується. Коли йдеться про сукупність споживчих благ, застосовується другий закон Госсе-на — принцип оптимальності структури споживання. Він формулюється так: максимальну насолоду суб’єкту принесе така комбінація благ, коли граничні корисності будь-якого з благ збігатимуться (в умовах обмеженого грошового доходу).
Г. Госсен (а потім С. Джевонс) прагнув показати взаємовплив насолоди (корисності), важкості праці (негативної корисності) та кількості блага. Оптимальна кількість блага виробляється тоді, коли гранична корисність продукту та гранична важкість праці зрівнюються. Простіше: коли задоволення від праці врівноважується негативними аспектами праці (монотонністю операцій, утомою тощо), роботу необхідно завершувати, а одержану кількість продукції (грошового доходу) розглядати як найвигіднішу. Графічно це пояснює рис. 3.

Крива 1 — функція граничної корисності продукту праці; крива 2 — функція граничного задоволення від трудового процесу. Згідно з першим законом Госсена, гранична корисність благ зі збільшенням кількості продукту зменшується, що пояснює крива 1. Криву 2 поділимо на кілька відрізків: ab — невдоволення від праці через її незнан-ня з набуттям навичок і вмінь перетворюється на задоволення; bc — продовження роботи, навпаки, знижує задоволення, збільшуючи втому й важкість праці. У точці рівноваги Q0 (при оптимальній кількості продукту) приріст невдоволення від праці дорівнює граничній корисності продукту (N0Q0 = Q0P0). Після точки Q0 корисність нової кількості продукту не компенсує збільшення важкості праці, тобто N1Q1 > Q1P1.
Багато спільного з ідеями Г. Госсена мають праці англійського економіста С. Джевонса: ототожнювання рівноваги з балансом на-солод і страждань раціонального суб’єкта, прагнення в математичній формі виразити цей баланс. Саме з ім’ям С. Джевонса пов’язаний поступовий розрив математичної школи з традиціями маржиналізму, перетворення математики з методу викладення на метод дослідження. С. Джевонс оперує вже не суб’єктивним, а математичним понят-тям граничної корисності.
За С. Джевонсом, сукупна корисність U певного набору благ (x1,..., xn) є функцією типу U = f (x1,..., xn), а гранична корисність одного блага з набору (наприклад, x) є частковою похідною цієї функції:

Використання принципу максимізації корисності дозволило С. Джевонсу визначити, що оптимальне співвідношення обміну двох товарів досягається, якщо їх ціни пропорційні, а кількості обернено пропорційні до їх граничних корисностей.
Провідним економістом-математиком XIX ст. вважається засновник лозаннської школи маржиналізму Л. Вальрас. На основі принципу максимуму корисності він перший побудував модель загальної економічної рівноваги, яка базується на аналізі попиту й пропозиції та складається з кількох систем рівнянь. Основне місце посідають системи, які описують рівновагу двох ринків — виробничих послуг і предметів споживання. На першому ринку роль продавців відіграють власники факторів виробництва (землі, праці й капіталу). Покупця-ми є підприємці, які виробляють споживчі товари. На другому ринку власники факторів виробництва та підприємці міняються місцями.
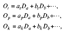
Рівновагу ринку виробничих послуг описує така система рівнянь:

де Ot, Op, Ok — розмір пропозиції відповідно земельних послуг, трудових послуг і грошового капіталу; Da, Db — обсяг сукупного попиту на продукт відповідно а і b, що у станірівноваги дорівнюють обсягам їх пропозиції; at, ap, ak; bt, b, bk —кількість виробничих послуг, що витрачаються на виробництво одиниці продукту відповідно а і b.
Таким чином, Л. Вальрас розподілив раціональних суб'єктів на дві великі групи: з одного боку, земельні власники, грошові капіталісти й робітники, з іншого — капіталісти-підприємці. Ці групи, на думку вченого, мають спільний економічний інтерес. За умови рівноваги системи Л. Вальрас припускає можливість нульового безробіття, повного використання виробничих потужностей, чого в реальному житті не може бути. Зазначена математична конструкція має статичний характер, не враховує технічного прогресу та нагромадження капіталу.
Ще одна помітна постать лозаннської школи — В. Парето, який остаточно розбігся в поглядах з теоретиками математичної школи щодо концепції суб'єктивної корисності. На відміну від інших він заперечував факт існування причинно-наслідкових зв'язків. Як і більшість сучасних учених-математиків, В. Парето визнавав лише функціональні зв'язки між явищами, а своє завдання вбачав у визначенні кількісних співвідношень між ними.
Для нього не існувало питання, чим визначається ціна — граничною корисністю, попитом і пропозицією чи витратами виробництва. Виходячи з цього він модифікував індивідуальну функцію корисності Джевонса—Вальраса та змінив її на порядкову функцію надання переваг.
В. Парето остаточно відійшов від кардиналістської (від англ. cardinal — кількісний) концепції раннього маржиналізму, представленої всією суб'єктивною теорією граничної корисності, коли раціональний індивід виходячи з певних переваг і уподобань визначає для себе кількісну оцінку корисності в умовних одиницях (балах, ютилях тощо). В. Парето (до нього ці ідеї розробляв Ф. Еджворт, 1881) здійснив перехід до ординалістської концепції маржиналізму (від ordinal — порядковий), пропонуючи користуватися теорією порядкової корисності. Остання не вимірює корисність абсолютними показниками, а оперує поняттям "надання переваг" певному набору благ.
Кількість благ, з погляду раціонального суб'єкта з обмеженим грошовим доходом, безмежна (тобто комбінацій благ (наборів) безліч). Набори благ різняться за кількістю окремих благ. Не можна виміряти корисність кожного набору чи сказати, наскільки один набір корисніший від іншого. Але функція, яка відображує послідовність, порядок надання переваг цим наборам раціональним суб'єктом, може бути достатньо повним описом його поведінки.
В. Парето став першим економістом, який дослідив питання про існування розв'язку системи загальної рівноваги Л. Вальраса. Він сформулював критерій найкращого розподілу ресурсів, який увійшов в історію економічної думки як оптимум Парето: розподіл ресурсів є оптимальним, якщо не можна поліпшити стан одного якогось учасника економічного процесу, одночасно не погіршивши стан хоча б одного з решти учасників. Розвиток у напрямку оптимуму передбачає такий рух ресурсів, який збільшує добробут як мінімум однієї людини, не заподіюючи шкоди іншому.
Математична школа в цілому суттєво вплинула на економічну науку, примусила її більше уваги приділяти кількісному аналізу явищ господарського життя. Було закладено основи економіко-математичного моделювання економічних явищ і процесів, яке з плином часу перетворилося на один із провідних методів політичної економії.
Список використаної літератури
- Гэлбрейт Дж. Новое индустриальное общество: Пер. с англ. / Под ред. Н. Н. Иноземцева. — М.: Прогресс, 1969. — 480 с.
- Жамс Э. История экономической мысли XX века: Пер. с фр. / Под ред. И. Г. Блюмина. — М.: Изд-во иностр. лит., 1959. — 572 с.
- Жид Ш., Рист Ш. История экономических учений: Пер. с англ. — М.: Экономика, 1995. — 543 с.
- Игнатенко А. А. Ибн Хальдун. — М.: Мысль, 1980. — 160 с.
- История экономических учений: Учебник для экон. спец. вузов. — М.: Высш. шк., 1983. —559 с.
- Кейнс Дж. -М. Общая теория занятости, процента и денег: Пер с англ. / Под. ред. А. Г. Милейковского, И. М. Осадчей. — М.: Прогресс, 1978. — 494 с.
- Козак Ю. Г. Современный маржинализм: Методологические вопросы критики. — К.: Выща шк., 1985. — 143 с.