Плід кмину (Fructus carvi)
Кмин звичайний — Carum carvi
Родина Салерових (Зонтичні) — Apiacaae (Umbelliferae)
В аптеках плоди використовуються для одержання відварів. Сировина експортується. Застосовується в харчовій, консервній, лікеро-горілчаній, парфумерній промисловості, у свіжому вигляді — як приправа до різних страв. Заготовляється у великих кількостях. Високоврожайна, рентабельна культура з усіх ефірноолійних зернових культур. На Україні культивується один вид. Щорічна потреба в сировині тисячі тонн.
Рослина. Дворічна трав'яниста рослина. У перший рік утворюється розетка прикореневих листків, на другий — з'являється гіллясте, порожнє всередині, борознисте стебло висотою 30-80 см. Листки розташовані по черзі, двічі- і тричі перисторозсічені на невеликі лінійні часточки. Мають білі правильні пятивимірні квітки, зібрані в складні парасольки. Плід — сухий, вислоплідник, складається з двох циліндричних напівплодиків (мерикарпіїв). Після дозрівання напівплодики висять на нитковидних ніжках. Цвіте в червні — липні, плоди дозрівають у липні — серпні.
Поширення. Росте у дикому вигляді в лісовій і лісостеповій зонах, у горах Середньої Азії і Криму, на півдні Сибіру, на Кавказі. Введений у культуру на Україні. Зустрічається на лугах, у розріджених лісах, по лісових галявинах, пагорбам, біля доріг.
Заготівля. До збору приступають у липні при побурінні 50-60% плодів на центральній парасольці більшості рослин. Викошують кмин жниваркою, обмолочують комбайном при малих оборотах барабана, тому що плоди легко обсипаються. При зборі доцільно викошувати рослини під час роси.
Сушіння. Плоди дрібні, майже сухі, теплового сушіння не вимагають. Рослини сушать під сонцем або на току, зв'язаними в снопики, потім обмолочують, очищають на віялках і упаковують у мішки.
Зовнішні ознаки сировини. Плоди буруваті, напівплодики від довгастої форми до серповиднозігнутої, стиснуті з боків, звужені до верхівки, із надприймочковим диском — із залишками двох нахилених розбіжних стовпчиків. Зовні напівплодики опуклі, усередині плоскі. Кожний напівплодик має п'ять сильно випуклих подовжніх реберець; три з них є на опуклому боці, два — із боків. Довжина плодів 3-7 мм, ширина суцільних плодів 1-1,5 мм. Запах сильний, духмяний. Смак пекучий, гіркувато-пряний. Знижують якість сировини ушкоджені плоди, бур'янисті домішки. Тотожність плодів визначають по зовнішньому вигляду і мікроскопічно.
Хімічний склад. Ефірна олія (не менше 2%), жирне олія, білкові речовини, флавоноїди. Ефірна олія безбарвне, згодом поступово жовтіє. Компонентами олії є кетон карвон, що володіє специфічним кминним запахом, і лимонен.
Зберігання. По правилах зберігання ефірноолійної сировини. Термін придатності 3 роки.
Лікарські засоби. Плоди кмину, збори, чаї, кминна олія.
Застосування. При болях у шлунку і кишечнику. Ефірна олія вживається для ароматизації лікарських препаратів.
Кореневище з коренями валеріани (Rhizoma cum radicibus valerianae)
Валер’яна лікарська, маун аптечний, котячий корінь — Valeriana officinalis.
Родина Валер’янові — Valerianaceae.
В аптеках із сировини валер’яни готують настої, на фармацевтичних заводах — різні препарати; крім того, використовується свежа сировина валер’яни. Валер’яна лікарська — збірний вид, що об'єднує декілька видів, допущених до заготівлі. Щорічна потреба в сировині тисячі тонн. На Україні росте 30 видів валер’яни.
Рослина. Багаторічна трав'яниста рослина висотою від 50 см до 2 м. В перший рік життя утворюється тільки розетка прикореневих листків, на другий — квітконосні стебла. Кореневище коротке, вертикальне, із численними коренями. Стебла прямі, усередині порожні, зовні борознисті, у нижній частині блідо-фіолетового кольору. Листки непарноперисторозсічені, нижні — черешкові, верхні — сидячі. У верхній частині стебло гіллясте, утворює щитковидні або метельчаті суцвіття. Віночок рожевого кольору, лійкоподібний. Тичинок три, маточка одна із нижньою зав'яззю. Плід — сім'янка з чубчиком. Цвіте з кінця травня до серпня, плоди дозрівають у червні — вересні.
Поширення. Зустрічається майже на всій території України. Заростей, зручних для заготівлі, не утворює, тому культивується в середній смузі в багатьох господарствах. На плантаціях валер’яни сировина кращої якості. Кореневища в культивованих рослин майже вдвічі більші.
Місцепроростання. Зустрічається у різних місцях, у степу, по кам'янистих гірських схилах, переважно на вологих лугах, у заплавах рік, серед чагарників, на болотах, у лісах.
Заготівля. Сировину дикоростучу, заготовляють восени у фазі плодоносіння. Викопують її лопатами або мотиками. Збирання на полях робиться механізованим способом. Сировину обтрушують від землі, миють у проточній воді в плетених кошиках або в коренемийках, просушують, потім піддають провялюванню і ферментизації, складаючи шаром у 15 см на 2-3 дні, після чого вона етмніє і підсилюється характерний валер’яновий запах.
Охоронні заходи. Після викопування підземних частин валер’яни насіння з рослини обтрушують у ту ж ямку, де були корені, і засипають землею; крім того, на місці збору залишають усі дрібні рослини і частину великих для поновлення заростей. Стебла з насіннями обрізають, не ушкоджуючи кореневища. Рослини розмножуються кореневищами.
Сушіння. Пров'ялені корені досушують у сушарках при температурі не вище 35°С. Домішки відсівають на металевих сітках. Висушені корені повинні ламатися, але не гнутися. Вихід сухої сировини 25%. Тотожність сировини визначається по зовнішніх ознаках і мікроскопічно.
Зовнішні ознаки сировини. Відповідно до ДФХ, ДСТ і ФС допускається до уживання як висушена, так і свіжозібрана сировина (кореневище з коренями валер’яни свіже — Rhizoma cum radicibus Valerianae recens). Суху сировину рекламентують ДФХ і ДСТ. Кореневище вертикальне, коротке, злегка конічне, товсте, довжиною 0,6-4 см, товщиною 0,5-4 см, із пухкою серцевиною або порожнє, із поперечними перегородками. Злам зернистий, слабоволокнистий. Корені численні, довжиною до 40 см і більше. Колір сировини жовтувато-бурий. Запах сильний, специфічний. Смак пряно-гіркуватий. Якість сировини погіршують домішки стебел, інші частини рослини, пісок.
Можливі домішки. При заготівлі іноді збирають схожі рослини. Усі домішки легко розпізнаються по відсутності валер’янового запаху в сухій сировині. Сідач коноплевидний — Eupatorium cannabuim. Родина Складноцвіті. Листки трійчастоперисті, розташовані по черзі. Квітки теж дрібні, рожеві, зібрані в суцвіття — складний щиток. Коренева система подібна як у валер’яни. Сердечник крупнолистний — Cardamine macrophylla Родина Капустяні — Brassicaceae. Листки непарноперисторозсічені. Квітки рожеві, із чотирма вільними пелюстками, зібрані в короткий волоть. Плід — стручок. Кореневище горизонтальне. Лабазник вязолистний (таволга) — Filipendula ulmaria. Родина Розоцвіті- Rosaceae. Листки переривчастонепарно-перисторозсічені. Квітки дрібні, білі, вільноп’ятипелюсткові, зібрані в густе метельчате суцвіття. Кореневище горизонтальне, із численними чорними придатковими коренями.
Хімічний склад. У коренях переважно міститься до 2% ефірної олії, у кореневищі — вільна ізовалер’янова кислота. Компонентом ефірної олії є складний ефір борнеола з ізовалер’яновою кислотою — борнілізовалер’янат. Крім того, до складу ефірної олії входять ізовалер’яновая кислота і борнеол, монотерпеновий алкоголь мертинол у вільному стані й у вигляді ефіру ізовалер’янової кислоти. Є біциклічні монотерпени (камфен, a-пінен), моноциклічні терпени (L-лимонен, D-терпінеол). Містяться сесквітерпени, трициклічний сесквітерпеновий спирт (кесиловий алкоголь або проазулен). У сировині міститься біля 1% валепатріатів.

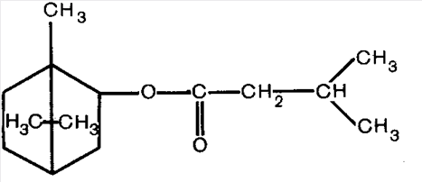
Рис. 1. Борнілізовалер’янат.
Зберігання. По правилах зберігання ефірноолійної сировини, запакованим в мішки і тюки, у темних приміщеннях, недоступних для кішок, що гризуть і розтягують корені. Термін придатності 3 роки. Свіжозібрана сировина повинна бути перероблена на фармацевтичних заводах протягом 3 днів.
Лікарські засоби. Кореневище з коренями, настій, настойка, камфорно-валер’янові краплі, густий екстракт, заспокійливий збір, таблетки, драже, брикети, кардіовален.
Застосування. При багатьох нервових захворюваннях, порушеннях, безсонні, серцевих неврозах—як заспокійливий засіб.