Проект АБС НБУ
АБС НБУ є інтегрованим програмним комплексом, який забезпечує автоматизацію всіх проблем банку – від ведення головної книги до обліку виробництва для функціонування Банкнотно-монетного двору. Вона повинна об’єднати окремі завдання в єдиний програмний комплекс і дозволити кожному обласному управлінню вести самостійний баланс як частину єдиного балансу НБУ.
Основні вимоги до нової АБС НБУ
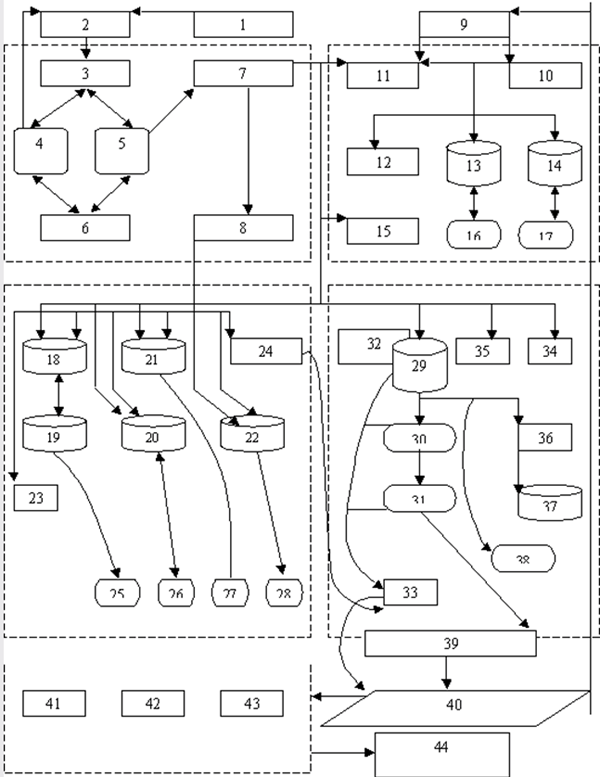
1. Система повинна мати модульну структуру, що дозволяє будувати її конфігурацію з базових модулів та підсистем, і складатися з програмних модулів для проведення операцій із цінними паперами та готівкою, обслуговування фізичних осіб, обліку основних засобів і товарно-матеріальних цінностей, управління персоналом та нарахування заробітної плати, фінансового аналізу, управління активами (пасивами), а також виробничими процесами (рис. 1). Передбачається можливість підключення системи "клієнт-банк".

Рис. 1. Автоматизована банківська система НБУ.
2. Система повинна бути інтегрованою для забезпечення обміну інформацією між її різними компонентами через загальне інформаційне поле та для зв’язку з іншими системами НБУ.
3. Для збереження даних застосовуються сучасні СУБД ОRАСLЕ, SYBASE та INFORМІХ, що дозволяють ефективно вирішувати питання, пов’язані з цілісністю, безпекою даних, їх резервуванням та архівацією.
4. Передбачається дворівнева схема побудови:
- центральний апарат НБУ;
- обласні управління.
5. Для створення програмних модулів та розв’язання власних задач у межах системи передбачається використання єдиного інструментального засобу.
6. Для зв’язку з іншими системами передбачено два режими:
- оff-line за узгодженими форматами даних;
- оn-lіnе за стандартними протоколами.
7. Для більшості підсистем передбачається можливість роботи в реальному часі.
8. Передбачається використання апаратних та програмних засобів для надійного забезпечення безпеки даних та захисту від несанкціонованого доступу.
Схема телекомунікаційної мережі
Мережа складається з високопродуктивних комутаторів Frame Relaу у точках комутації (backbone-мережа) та вузлів доступу, забезпечуючих адаптацію трафіку, що надходить. У даному проекті передбачається використання комутаторів Magellan моделей Passport 50 та Passport 160 (в якості устаткування основної мережі) та обладнання доступу МАІ 5КТ РRО (у якості обладнання рівня адаптації).
Загальні відомості про Magellan Passport. АТМ – комутатор Magellan Passport – підтримує численні мережеві служби на основі високопродуктивної та потужної мережевої платформи. Ця система може виконувати одразу декілька функцій, важливих для мереж підприємств та провайдерів послуг.
У корпоративних мережах Magellan Passport відіграє роль економічно ефективного АТМ-комутатора, що призначений для консолідації мережі та забезпечує зниження витрат, підвищену функціональність і готовність до використання нових мультимедійних додатків. Використовуючи різні варіанти організації каналів, Passport консолідує АТМ, передачу голосової та відеоінформації з передачею даних по FRАМЕ RELAY, LAN, SNА та АРРN, а також інший традиційний телекомунікаційний сервіс у рамках єдиної мережі.
Корпорації можуть використовувати Magellan Passport для побудови приватних мереж на основі виділених ліній зв’язку, нарощуючи власні мережі на основі ТDМ-технології до рівня мереж АТМ, щоб вони могли підтримувати нові мультимедійні додатки при низьких витратах. Раssроrt може приєднуватися до комерційних АТМ-мереж, дозволяючи підприємствам використовувати потужність та цінові переваги АТМ-мереж загального використання. Крім того, офісні комутатори Раssроrt можуть експлуатуватись в умовах змішаних мереж, побудованих на основі приватних ліній та АТМ-мереж загального використання.
Нарощування системи Раssроrt забезпечує її рентабельну сумісність із найрізноманітнішими офісними мережами підприємств – від штаб-квартир великих корпорацій до офісів відділень дрібних компаній. Система доступна у різних модифікаціях, таких як велика станція на 16 слотів (Раssроrt модель 160), станція на 5 слотів (Раssроrt модель 50) та станція на 3 слоти (Раssроrt модель 30). Нортел пропонує також малу станцію Раssроrt Ассезз, призначену для відділень дрібних компаній.
У комерційному телекомунікаційному сервісі Раssроrt може використовуватися для побудови мереж FRАМЕ RЕLАY, мереж із комутацією голосу, АТМ та SNА мереж. Система може підтримувати багатоцільові мережі на основі використання комбінованих послуг. Рassport забезпечує додаткові можливості, наприклад, високопродуктивний багатоканальний інтерфейс DS3 для FRАМЕ RELAY та інші, розроблені для задовільнення специфічних потреб провайдерів послуг.
Будучи складовою частиною сімейства, обладнання Magellan Рassport дозволяє телекомунікаційним компаніям створювати таку мережеву архітектуру, яка найбільше відповідає їх вимогам. Наприклад, у дрібних провайдерських мережах Рassport може забезпечувати як адаптацію доступу, так і комутацію backbone-каналів. У більших мережах (де вимагаються АТМ комутатори більш високої продуктивності) системи Magellan Vector та Magellan Соnсоrdе можуть забезпечувати комутацію АТМ-каналів опорних мереж при використанні Рassport у якості багатофункціонального адаптера АТМ.
І навпаки, телекомунікаційна компанія може починати з мережі, яка побудована за допомогою обладнання Рassport, додаючи системи Vector та Соnсоrdе. Провайдер послуг може підтримувати мережу найбільш оптимального розміру, який відповідає темпам росту абонентського трафіку, поступово пересуваючи обладнання Раssport до периферії мережі та доповнюючи її іншими продуктами із сімейства Magellan.
Загальні мережеві функції АТМ (сигналізація і маршрутизація) та координовані програмні додатки управління мережею можуть функціонувати на всіх пристроях сімейства Magellan, дозволяють провайдерам послуг інтегрувати Рassport із системами Vector та Соnсоrdе для створення мережі із найбільш оптимальною конфігурацією.
Гнучкість системи Раssроrt, що дозволяє їй підтримувати широкий спектр послуг, робить цей багатофункціональний АТМ-комутатор незамінним для корпоративних мереж та телекомунікаційних компаній. Крім того, Раssроrt забезпечує послідовне зростання та розвиток традиційної системи передачі даних до мереж FRАМЕ RELAY та АТМ як для корпоративних мереж, так і комерційних телекомунікаційних мереж.
Раssроrt здійснює динамічну маршрутизацію трафіку, вибираючи оптимальні шляхи проходження даних, обходячи несправні чи переповнені з’єднання та підвищуючи ефективність використання мережі. Раssроrt оснащений унікальною системою пріоритетів компанії Нортел – Мulti Ргіоtіtу System, призначеною для оперативного керування різнорідним трафіком та виділенням мережевих ресурсів залежно від конкретних сітьових додатків та пріоритетів користувача.
Високий коефіцієнт готовності (до 99,999%) та продуктивність досягаються завдяки наявності таких факторів, як резервування апаратної частини, можливість підтримки каналів, дублювання джерела живлення та процесорного пристрою.
Система Маgеllаn Раssport пропонує широкий вибір платформ:
- Раssport модель 160,
- Раssport модель 50,
- Раssport модель 30.
Станції Раssport мають апаратну частину та програмне забезпечення, що здатні задовольнити вимоги найрізноманітніших площ та умов експлуатації. Мережі Раssport легко можуть розширюватися від декількох до тисячі та більше вузлів. Модульна архітектура Раssport забезпечує гнучкість системи, що дозволяє провайдерам послуг конфігурувати процесорні карти та програмне забезпечення, щоб найкращим чином відповідати вимогам окремих замовників відносно інтерфейсів, набору функцій та розмірів системи.
Наприклад, Раssport може використовуватися як високопродуктивний комутатор FRАМЕ RELAY або мережевий комутатор, який консолідує передачу голосу, відеоінформації послідовних даних трафіка локальної мережі, службових даних та LAN, що дозволяє суттєво збільшити ширину полоси пропуску, яка використовується, а також знизити витрати на обладнання, площі та технічне обслуговування.
Модель Раssport 160 включає 16 контрольних та робочих процесорів, більш компактна модель Раssport 50 – 5 контрольних та робочих процесорів. Для задоволення можливих вимог периферії доступу модель Раssport 50 може укомплектовуватися контрольно-функціональним процесором (СFР 1). Модель Раssport 30 підтримує 3 робочих процесори і є мінімальною із платформ родини Раssport для задоволення вимог невеликої регіональної або великої офісної мережі.
Такі складні функції управління мережею, як статистичне ущільнення каналів у поєднанні з системою пріоритетів "Мulti Рriotitу System" (МРS), дозволяють користувачам Раssport скоротити витрати, пов’язані з експлуатацією мережі. Незалежні мережеві додатки консолідуються в одну фізичну або багато логічних мереж, кожна з яких володіє унікальними характеристиками управління та продуктивністю. Об’єднання опорних мереж забезпечує значну економію коштів за рахунок скорочення площ, необхідних для розміщення мережевого обладнання. Раssport також забезпечує складання статистичних та бухгалтерських звітів, що допомагає провайдерам послуг здійснювати розрахунки з клієнтами, а корпораціям – ефективно використовувати мережеві ресурси.
Загальні відомості про Magellan Ассеss Іntegrator (МАІ). Серія МАІ, що випускається компанією Nortel, базується на продукції Маrаthоn компанії МІСОМ і є частиною запропонованого мережевого рішення на базі лінії продуктів серії Magellan. МАІ підключається до основної мережі, побудованої на DPN-100 або Раssроrt засобами виділених ліній або через Frame Rеlау з’єднання. Серія МАІ забезпечує інтеграційні можливості периферійного вузла доступу і містить інтегрування таких функцій, як аналоговий, цифровий, факсимільний зв’язок, трафік локальних мереж.
МАІ підтримує передову технологію компанії Nortel 8 Кбіт/сек компресію голосу (G. 729 СS-АСЕLР), яка забезпечує високу якість передачі голосу, використовуючи мінімальну смугу пропуску каналу. На сьогодні доступні чотири моделі МАІ – МАІ 2К Р1us, МАІ ЗК, МАІ 5КТ Рrо та МАІ 20К Рrо. Кожна з них може бути індивідуально сконфігурована та укомплектована опційними модулями, що підтримують широкий спектр функцій для задоволення індивідуальних потреб замовника.
Набір опційних модулей містить:
- Тurbо Universal Vоісе Моdule (ТUVМ) та Сlеаr Vоісе Моdul (СVМ) для аналогового голосового трафіку та факсу;
- модулі для цифрового голосового трафіку;
- Сhannel Ехраnsion Моdule (СЕS) для підтримки традиційних даних;
- Integration Routes Моdul (ІRМ) для підключення LAN Еthernet.
Основні функції МА:
- компресія голосу G. 729 СS-АСЕLР із заглушенням пауз при розмові;
- демодуляція факсимільної інформації – 9,6 Кбіт/сек;
- компресія даних;
- маршрутизація LAN/WAN;
- підтримка backup-з’єднань.
Серія МАІ є типовим рішенням передачі голосу по Frame Relay в мережах, побудованих на Magellan DPN-100 та Раssport, і підтримується та розвивається відповідно до потреб і вимог користувачів та замовників.
Сучасні схеми
Останнім часом в Україні, як і в інших країнах Європи, банкам доводиться все частіше звертатися до "дрібного" клієнта та його "надокучливих" щоденних потреб. Як з’ясувалося, це вигідна справа, хоча і недешева. Роздрібні послуги обходяться банку дорого, бо затрати на обслуговування одного клієнта на оптовому ("wholesale") та роздрібному банківських ринках відрізняються не так сильно, як прибуток від цих операцій.
Основна складова витрат на проведення роздрібних послуг зумовлена необхідністю "дійти до кожного". Щоб клієнт прийшов до банку (тим більше вдруге), йому це повинно бути зручно. Тому банківську установу слід розташовувати якомога ближче до клієнта. Крім того, при проведенні роздрібних послуг (а це, у першу чергу, обслуговування щоденних потреб приватних осіб) мережа таких установ повинна бути досить щільною. Інакше кажучи, шанси на успіх (а то й виживання) має роздрібний банк, що володіє розвиненою філійною мережею, розширенню якої сприяє контрацепція капіталу.
Останнім часом в Україні банки все рідше йдуть "в нікуди". Відчуваючи зростаючу нестійкість, банк намагається знайти "принципала" та стати його дочірнім підприємством. При цьому кількість самостійних банків зменшується, а філій – зростає, і в найближчі роки така тенденція буде зберігатися.
Як же проявляються ці тенденції в потребах банків у системах автоматизації та вимогах, що до нього висуваються? Зрозуміло, що наявність філій не зменшує вимог, які носять спільний для усіх АБС характер.
Система автоматизації повинна забезпечувати:
- коректний облік операцій банку згідно з діючими нормативними документами;
- складання періодичної та разової звітності, визначеної інструкціями НБУ та іншими нормативними документами;
- гнучке налагодження для врахування всіх змін, що вносяться в діючі нормативні акти;
- можливість аналізувати поточний стан банку та прогнозувати його на задану перспективу;
- оперативне керування активами банку.
Проте багатопрофільний банк відрізняється від інших тим, що операції в усіх його територіальних підрозділах робляться одночасно. Зумовлені цим специфічні особливості висувають додаткові вимоги до АБС, а саме:
- можливість отримання консолідованих даних з усього банку;
- однаковий режим роботи з особовими рахунками в довільній установі банку.
Останню обставину слід пояснити окремо. Клієнт сподівається, що рівень обслуговування та спектр послуг буде однаковим в усіх установах банку, оскільки має схильність розглядати всі філії саме як установи одного і того ж банку. Тому, відкривши рахунок в одній з них, він розраховує на можливість скористатися своїми грошима в будь-якій іншій філії. А це потребує однакової можливості доступу до будь-якого особового рахунка з довільного відділення даного банку.
Для забезпечення нормального функціонування багатопрофільного банку система автоматизації може бути побудована за однією із наступних схем: централізована; консолідаційна; реплікаційна; розподілена.
При централізованій схемі усіх баз даних використовується єдиний обчислювальний комплекс, який знаходиться в головній установі банку. Доступ до даних з філій відбувається в режимі "термінал-сервер"; уся інформація обробляється центральним комп’ютером. Переваги такої системи в тому, що вона постійно гарантує актуальність даних, а недоліки – велике навантаження на центральний комп’ютер та високі вимоги до телекомунікацій. Централізована схема зручна для банків дворівневої структури (головна контора – філії) з невеликою кількістю філій (до кількох десятків). Із збільшенням останніх вимоги до потужності центрального обчислювального комплексу зростають у геометричній прогресії. Для банку з більш складною (трьох- та чотирьохрівневою) ієрархічною структурою централізована схема не придатна.
При консолідаційній схемі кожна філія має власні обчислювальні потужності та працює майже автономно. Для ведення баз даних використовується обчислювальний комплекс філії, де проводяться всі операції. Розрахунки між банківськими філіями здійснюються за кліринговою схемою. З певною періодичністю філії підключаються до центрального комп’ютера головної установи для клірингу та (або) консолідації балансу. Переваги такої схеми – низькі вимоги до телекомунікацій та необмежена кількість рівнів ієрархії в структурі банка.
Недоліки є очевидними:
- По-перше, банк не має оперативного уявлення ні про поточний стан активів, ні про їх рух.
- По-друге, клієнти не можуть розраховувати на отримання в усіх установах банку однакового переліку послуг, оскільки повний доступ до розрахункового рахунка є тільки в тому відділенні, де він був відкритий.
- По-третє, консолідаційна схема вирішує тільки задачу об’єднання потоків інформації від філій. Низхідні (від головної установи до філій) та горизонтальні (між філіями) потоки в ній не передбачаються (за винятком клірингової інформації).
У реплікаційній схемі, як і в консолідаційній, кожна установа банку має повнофункціональний обчислювальний комплекс, що працює в автономному режимі. Періодично проводяться сеанси зв’язку між філіями та головним відділенням. Проте на відміну від попередньої схеми, під час такого сеансу здійснюється не тільки консолідація балансу, а й повна актуалізація баз даних. При цьому їх мінливий "образ" в усіх установах стає однаковим. Інакше кажучи, кожне з відділень банку працює з повною версією баз даних, до якої включається інформація усіх інших установ.
Як будь-який компроміс, реплікаційна схема має недоліки інших варіантів. Вона висуває високі вимоги до обчислювальних можливостей (кожна філія повинна мати ресурси, що є необхідними для ведення баз даних усього банку) та телекомунікацій (об’єм даних, що передаються при реплікації, є досить великим). Актуальність даних фактично зберігається лише декілька миттєвостей безпосередньо після реплікації, а потім бази даних у різних установах банку починають швидко "розходитися". Тому реплікації повинні проводитися досить часто. Проблему можна вирішити, використавши "інтелектуальне" управління періодичністю реплікацій, яке враховує статистику трансакцій у відділеннях. Найпростіший варіант – здійснювати реплікацію після накопичення певної кількості трансакцій.
Однак у багатьох випадках така схема може бути працездатною. До її безперечних переваг належить можливість використання стандартних АБС, які початково не розраховані на багатофілійні установи.
Розподілена схема сьогодні, на жаль, на українському ринку практично відсутні АБС, які відповідають усьому комплексу вимог до розподіленої обробки даних (системи V технологічного покоління). Для коректного функціонування такої АБС необхідне використання монітора (менеджера) транзакцій, що ізолює "клієнтську" частину від "серверної". З боку клієнта монітор транзакцій виглядає як звичайний сервер, а з боку сервера – як звичайний клієнт.
Принципова різниця полягає в тому, що монітор транзакцій знає, на якому (або на яких) із серверів розміщені дані, до яких звертається клієнт. Окремі частини цієї інформації можуть знаходитися на різних серверах, проте завдяки монітору транзакцій клієнт звертається до них так, ніби вони розміщені на одному сервері. АБС, побудовані за такою схемою, дозволяють звертатися до будь-яких існуючих даних у режимі реального часу.
При цьому створюється можливість оперативного аналізу та управління активами банку. Зрозуміло, що всі послуги стають однаково доступними для клієнтів банку в усіх його філіях. Проте такі АБС мають високу вартість, дуже важкі в супроводженні, користуванні, обслуговуванні, потребують висококваліфікованого персоналу та "не полюбляють" поганих мереж зв’язку.
Більшість багатопрофільних банків користуються консолідаційною схемою. У цьому немає нічого дивного. Ще донедавна банків, що мали більше сотні філій, майже не існувало. Проте ситуація швидко змінюється. Що ж можна порекомендувати банкам, які запроваджують мережу філій? Спочатку потрібно оптимізувати організаційну структуру. Чим менше рівнів ієрархії, тим легше ними керувати, і тим легше побудувати для них інформаційну систему. З іншого боку, в Україні банки змушені йти на збільшення кількості рівнів ієрархії, оскільки установи другого рівня віддалені від головного офісу на сотні кілометрів.
Кожна з них, у свою чергу, "обростає" мережею більш дрібних установ третього рівня, що обслуговують територію відповідного регіону. Тягнути мережі телекомунікацій від них до головної контори в наших умовах легше через установи другого рівня (на Заході ситуація прямо протилежна). Таким чином, якщо при дворівневій ієрархії установ для побудови АБС оптимальною є централізована система, то вже при трирівневій бажано вибрати розподілену схему.
Звичайно, оптимальне рішення для багатопрофільного банку повинно бути таким, щоб надавати клієнтам єдиний набір послуг та однаковий рівень обслуговування в усіх його установах. З точки зору технології, це можуть дозволити централізовані та розподілені системи. Проте зараз централізовані системи придатні, в основному, для банків з невеликою мережею філій, розміщених в одному населеному пункті, або ж дуже великих та фінансово потужних банків, які здатні створити власну виділену телекомунікаційну мережу.
Розподілених же АБС на ринку дуже мало, та й не всі з них відповідають сучасним вимогам щодо стійкості та функціональності. Тому банкам, які відчувають реальну потребу в автоматизації мережі філій, сьогодні можна порекомендувати звернутися до реплікаційної схеми. При цьому необхідно враховувати, що вона, на відміну від консолідованої, передбачає однакову структуру баз даних в усіх філіях. Ідеальний варіант – одна і та ж версія АБС, що встановлена в усіх установах банку та поновлюється одночасно.
Якщо ця умова виконана, то залишається лише створити еплікаційний механізм. Зрозуміло, що при цьому необхідно обміркувати всі деталі, оскільки від надійності його дії буде залежати нормальне функціонування банку. Проте подібний механізм набагато простіший, ніж АБС трьохрівневої архітектури "клієнт-сервер" з монітором трансакцій, та настількі ж дешевший. Крім того, він не настільки залежить від стану мережі зв’язку, а це в наших умовах дуже важливо.
Архітектура віртуальної БС на основі АРМ. У загальному випадку архітектура Інтел-АРМ може бути представлена п’ятіркою блоків.
Блок 1. Призначений для вводу, контролю, коригування вхідної (початкової) інформації з подальшою її класифікацією, описом та організацією на основі моделей існуючих баз знань.
Блок 2. Призначений для аналізу та розв’язання задач інтелектуального АРМ відповідно до баз концептуальних моделей і готових рішень, які управляються відповідними системами управління концептуальними моделями (СУКМ) і готовими рішеннями (СУГР).
Блок 3. Призначений для збереження та управління фактологічними даними, правилами, цілями і коментарями за допомогою відповідних систем управління; СУБД, СУБН, СУБЦ, СУБК; для прийняття рішень у результаті функціонування модуля самовдосконалення – модуль аналізу і реорганізації знань; видачі інформації про можливі сфери використання систем на основі нових знань – модуль прогнозу.
Блок 4. Призначений для виводу проміжних і кінцевих результатів за допомогою бази результатів, інтерпретатору та лінгвістичного процесора. У блоці використовується синтетична інформаційна модель для дослідження:
- взаємозв’язків між компонентами аналітичної моделі;
- синтезу вихідної інформації;
- виявлення "пробільних" знань і формулювання гіпотез;
- виявлення закономірностей і домінуючих тенденцій, факторів, що гальмують або прискорюють соціально-економічний і технічний розвиток;
- формування аналітико-синтезованих матеріалів;
- розробка варіантів управлінських рішень;
- оцінки їх економічної, соціальної і технічної ефективності.
У блоці використовується:
- модуль синтезу нових знань,
- модуль аналізу функціонування і самовдосконалення інтелектуальної системи на основі результатів її роботи,
- модуль аналізу помилок функціонування системи,
- модуль інтерпретації – для узгодження рішень спеціалістами різних рівнів (за рахунок використання алгоритмів узгодження).
Блок 5. Призначений для навчання і тренування (тренажер) користувача роботі з інтелектуальними АРМ і включає модулі навчаючих і демонстраційних програм, методики та методології навчання, пояснення процесу прийняття рішень інтелектуальною системою, сценаріїв діалогу, документально-графічних описів із використанням принципів гіпертексту, мультимедіа, гіпермедіа.

Особливий інтерес при створенні Інтел-АРМ викликає реалізація блока 1 на стадії створення бази знань (БЗ). Знання у БЗ бувають у вигляді: різних фактів емпіричних правил, теорем, припущень, висновків, рекомендацій, цілей, тверджень, концепцій, відносин, стратегій, алгоритмів, евристик, метазнань та ін. Внаслідок такої різноманітності знань із точки зору архітектури Інтел-АРМ їх прийнято класифікувати на ті, що інтерпретуються та не інтерпретуються.
До знань, що інтерпретуються, належать: конструктивні, декларативні, управляючі, процедурні; до знань, що не інтерпретуються, – додаткові знання про лексику, граматику, структуру діалогу, а також підтримуючі знання (технологічні, семантичні).
Для роботи Інтел-АРМ із певними знаннями Блок 1 має програмно-технологічний інструментарій перетворення інформації, що надходить на вхід системи у фактологічні дані, які мають властивості знань, тобто характеризуються внутрішньою інтерпретацією, внутрішньою і зовнішньою структурованістю, активністю.
Так, наприклад, внутрішня інтерпретація даних задається у вигляді списків, фреймів, фасет та ін., які дозволяють "розуміти" і обробляти інформацію в пам’яті Інтел-АРМ за суворо формалізованими правилами, що сприяють виключенню нечіткості в знаннях.
Структурованість даних дозволяє представити їх за допомогою родо-видових зв’язків, просторових відносин, відносин типу "частина – ціле – концептуальне".
Особливий інтерес має модуль самовдосконалення в Блоці 4, де реалізуються: алгоритм обробки фактів і знань, а також алгоритм реалізації логічних виводів. При цьому логічні виводи тісно пов’язані з ІЕС фактами (знаннями), що постійно поповнюються, і самонавчання системи здійснюється при її зіткненні з чимось, що суперечить раніше відомому.
Базовими моментами навчання Інтел-АРМ є:
- Система вносить зміни в БЗ тільки в тому випадку, якщо при обробці даних (фактів) зустрічаються протиріччя.
- 2. Система порівнює введені нові структури (характеристики) об’єкта з атрибутами, які зберігаються в ній, намагаючись їх ідентифікувати і вибрати найбільш подібні. Це передбачає використання спеціальних оцінок. Уся ця робота здійснюється за допомогою механізму логічного виводу.
Результатом реалізації запропонованої методології з використанням розробленої автором нової структурно-технологічної основи ІЕС обробки документів, підказки і прийняття рішень для Київського національного університету ім. Тараса Шевченка, що проектується в цей час.
Література
- Антонов В. М. АРМ економіста, фінансиста, менеджера. – К.: Таксон, 1998. – 120 с.
- Антонов В. Н. АРМ: Вопросы практического использования. – К.: Лыбидь, 1992. – 164 с.
- Антонов В. Н. Архитектура интеллектуально-экспертной системы поддержки принятия решений // Информатизация и новые технологии. –1996. – № 4. – С. 16-18.
- Антонов В. Н. Интеллектуально-экспертная графическая система // Информатизация и новые технологии. – 1996. – № 2. – С. 17-20.
- Антонов В. Н. Интеллектуально-экспертная система обработки документов, подсказки принятия решений: метод построения и реализации // УСиМ. – 1995. – № 3. – С. 82-85.
- Антонов В. Н. Проектирование объектно-ориентированых интеллектуальных АРМ// УСиМ. – 1997. – № 4/5. – С. 102-106.
- Антонов В. Н., Антонова Ю. В. Основы проектирования интеллектуальных АРМ // Информатизация и новые технологии. – 1994. – № 1/2. – С. 27-29.
- Банки на развивающихся рынках: В 2-х т. / Кол. авт. – М.: Финансы и статистика, 1994.
- Банківська енциклопедія / Під ред. проф. А. М. Мороза – К.: Ельтра, 1993. – 328 с.
- Велш Глен А., Шорт Денієл Г. Основи фінансового обліку. – К.: Основи, 1997. – 943 с.