Українським центром оцінювання якості освіти оголошені результати зовнішнього оцінювання з української мови і літератури, проведення якого відбулось 01 червня 2021 року.
Зміст сертифікаційної роботи ЗНО був визначений на основі програми зовнішнього незалежного оцінювання з української мови і літератури.
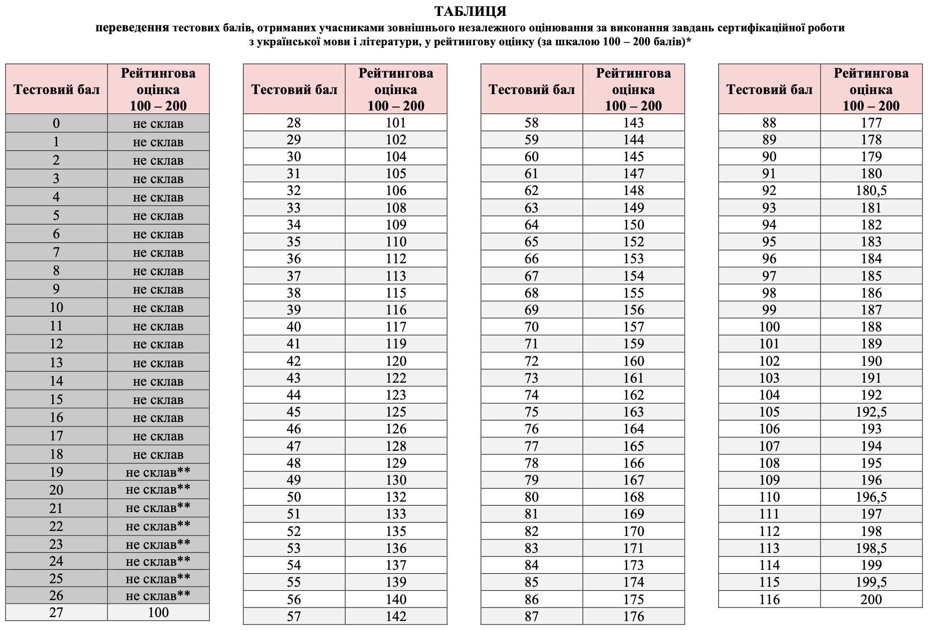
Тест з української мови і літератури містив 67 завдань, за правильне виконання яких учасник мав можливість отримати 116 тестових балів.
Мовний блок тесту містив 40 завдань (частини тесту 2 і 4), за правильне виконання яких можна було отримати 74 тестових бали.
Тестові роботи всіх учасників тестування розпізнані, ідентифіковані та перевірені. Результати тестування розміщені на інформаційних сторінках абітурієнтів.
Пороговий бал «склав/не склав» тесту ЗНО з української мови і літератури встановлений на рівні 27 тестових балів.
Адаптивний поріг «склав/не склав» для осіб з особливими (мовними) освітніми потребами встановлений на рівні 19 тестових балів.
В основу визначення рейтингу кожного абітурієнта покладені його результати, обраховані на основі загальної суми тестових балів. Результати тестування будуть вказані в інформаційних картках до сертифікатів ЗНО, що кожен учасник зможе роздрукувати з власної інформаційної сторінки.
Усі учасники, які подолали визначений експертами бар’єр, отримали рейтингову оцінку, що визначена за шкалою від 100 до 200 балів. Отриманий результат тестування учасники ЗНО зможуть використовувати під час вступної кампанії до закладів вищої освіти.
Оскільки результати зовнішнього оцінювання, за бажанням випускника, можуть бути враховані як державна підсумкова атестація за шкільний курс з української мови, Українським центром оцінювання якості освіти складено та затверджено окрему таблицю переведення тестових балів у шкалу 1-12 балів.
Учасники тестування можуть ознайомитись зі скан-копіями своїх бланків відповідей. Бланки відповідей розміщені на інформаційних сторінках учасників.
Також, у випадку сумнівів щодо об’єктивності визначених результатів, учасник тестування має право подати апеляційну заяву, надіславши її поштою на адресу Українського центру оцінювання якості освіти протягом 5 календарних днів з моменту оголошення результатів тестування.
Таблиця переведення тестових балів з української мови і літератури у 200-бальну шкалу:

Таблиця переведення тестових балів з української мови у шкалу 1-12 балів:

РЕЗУЛЬТАТИ ЗНО З УКРАЇНСЬКОЇ МОВИ ТА ЛІТЕРАТУРИ
Для отримання оперативної інформації про початок та перебіг вступної кампанії приєднуйтесь до сторінок Вступна кампанія в Telegram або Абітурієнт і Освіта.ua у Facebook.








